描述
FRED可以計算一個給定系統的MTF,本教程解釋了如何來實現這個功能。
建立系統
這篇文章中我們所使用的系統是一個簡單的透鏡,將光聚集到附著在幾何面的分析面上。透鏡是一個簡單的雙凸BK7單透鏡,參數為r1=60 mm, r2=-300 mm, ct=4 mm, x semi-aperture=10, y semi-aperture=10,該透鏡的像平面位于近軸焦點處。

光線聚焦的幾何面是一個簡單的表面,它的位置規范與透鏡的第二個面是一致的,并且在Z軸方向移動94.591622 mm。

分析
這個系統的點擴散函數:
• Log (Normal PSF)
• λ = 0.55 mm
• 0.32 waves 3rd order spherical
• EPD = 10 mm
• f/# = 9.68
點擴散函數如下圖:

系統的點擴散函數是:
• Log (Normal PSF)
• λ = 0.55 mm
• 1 wave 3rd order spherical
• EPD = 13.31 mm
• f/# = 7.27
點擴散函數如下圖:

演算
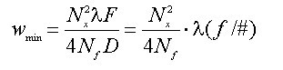
為了充分采樣透鏡的空間頻率直到截止頻率,分析面的最小半寬需滿足以下要求:
在這個等式中變量定義如下:
• Nx == number of pixels in the analysis plane for the irradiance spread function (PSF)(分析面的像素數用于照度分布函數)
• w == half width of the analysis plane for the irradiance spread function (PSF)(分析面的半寬度用于照度分析函數)
• Δx == pixel size in lens units(透鏡的像素大小單位)= 2w/Nx
• Nf == number of pixels in the transform grid(在轉換網格中的像素數);
• the transform grid must have 2n x 2n pixels(轉換網格一定要有2n x 2n個像素) (i.e. ...16, 32 , 64, 128, 256, 512, ...)
• FRED automatically sizes the transform grid so that it is 2n x 2n. Its size is the smallest grid for which Nf is greater than or equal to Nx(FRED自動規定轉換網格的尺寸保證它的大小為2n x 2n。它的大小是最小的網格,Nf應大于等于Nx)
• if Nx = 127, then FRED makes Nf = 128(如果Nx=127,FRED就將Nf 設置為128)
• if Nx = 128, then FRED makes Nf = 128
• if Nx = 129, then FRED makes Nf = 256
• Δf == pixel size in 1/lens units (1個透鏡單元的像素大小)= 1/(Nf*Dx)
• λ == wavelength in lens units(透鏡單元的波長)
• F == focal length(焦距)
• D == entrance pupil diameter(入瞳直徑)
比較
在下圖中:
透鏡EPD=10mm
截止頻率=184lp/mm
圖像平面網格=128*128像素,在X和Y方向上的全寬度為0.348mm*0.348mm。

在下面的圖表中:
透鏡EPD=13.31 mm
截止頻率=250 lp/mm
圖像平面網格=128*128像素,在X和Y方向上的全寬度為0.256mm*0.256mm

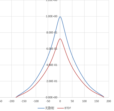
增加第一表面的BTDF函數,TIS=0.27,表面粗糙度為:90埃

則可以看到表面粗糙對MTF的影響:

|