在JCMsuite中,利用光學手性的形式和內置的手性參量可以計算光散射體的手性響應。結果表明,時間諧波光學手性密度服從局部連續性方程[1]。這使得手性行為的分析類似于研究電磁能量的標準消光實驗。
在電磁能量的情況下,消光由散射和損失[2]組成。對應的手性參量是光學手性的消光  散射  ,以及體積  和界面上  的手性轉換。這就得到了守恒定律
積分是在散射體的外表面∂Ω和體積Θ以及表面∂Θ上進行的。
這些參量在JCMsuite中命名,如下表所示。更多細節可以在這里找到。
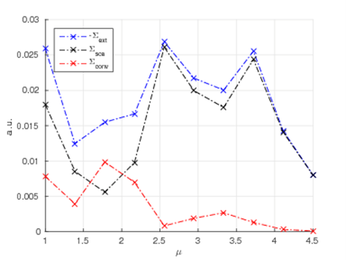
作為案例展示,我們計算散射體的手性響應如下圖所示:
它的直徑是一個波長的量級,它的介電常數固定為ε=4.5。在下面,我們將改變散射體的磁導率μ,并觀察預測的對偶對稱性[3]對于恒定比率ε/μ的散射體及其環境。周圍的材料是ε=μ=1的空氣。
由于散射體是無損的和各向同性的,在它的體積內將沒有轉換。請參考四分之一波片的案例,以獲得更多關于體積轉換的信息。
在這里,所需的參量被計算為如上所述的電磁手性通量的通量積分。如下圖所示,對于接近對偶對稱的材料,轉換趨向于零。
在固定介電常數ε=4.5下,散射體的磁導率μ的變化。
該散射體是對偶的ε/μ=1,產生零手性轉換。
在JCMsuite中,所有手性密度都是相似的。例如,我們在下面的圖中展示了增強的近場光學手性密度的電子部分。這是一個后處理過程,即ExportFields:輸出參量電手性密度。
具有ε/μ=1的雙散射體的光手性密度X的近場增強
參考文獻
[1] Philipp Gutsche, Lisa V. Poulikakos, Martin Hammerschmidt, Sven Burger, and Frank Schmidt. Time-harmonic optical chirality in inhomogeneous space. In SPIE OPTO, Vol.9756m pages 97560X. International Society for Optics and Photonics, 2016.
[2] Craig F. Bohren and Donald R. Huffman. Absorption and Scattering of Light by Small Particles. John Wiley & Sons, 1940.
[3] Ivan Fernandez-Corbaton. Helicity and duality symmetry in light matter interactions: Theory and applications. PhD thesis, Macquarie University, Department of Physics and Astronomy, 2014.
|